通知公告
我的位置在: 首页 > 通知公告 > 正文
威廉希尔williamhill官方网站2022年硕士研究生招生复试拟录取结果公示
浏览次数:日期:2022-04-08来源:威廉希尔williamhill官方网站
英国·威廉希尔(williamhill)中文官方网站




威廉希尔williamhill官方网站信息科学与工程公司  

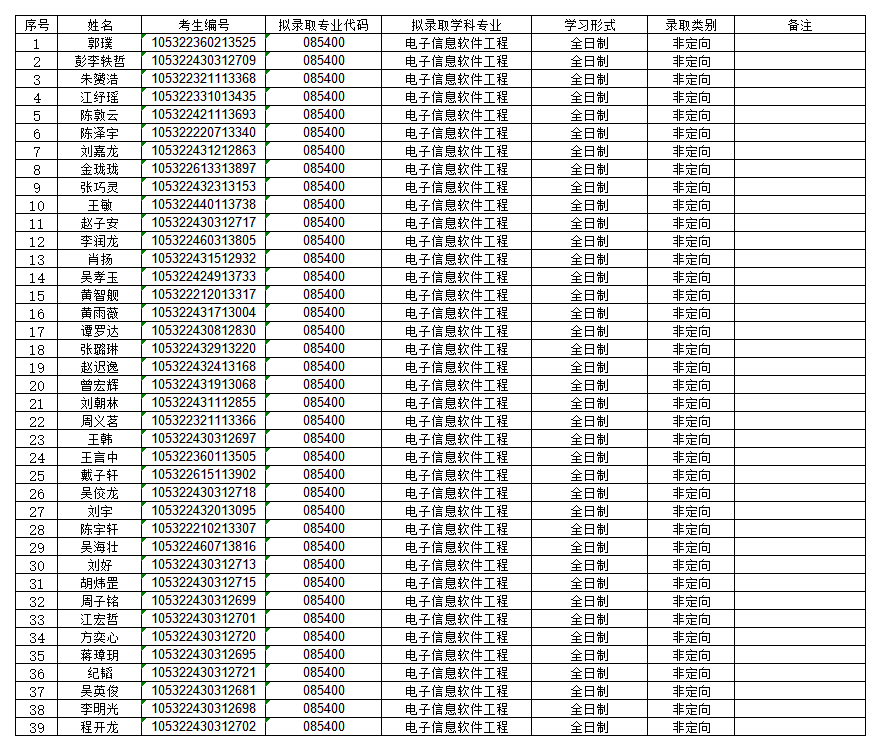
2022年硕士研究生拟录取建议名单公示  

根据《威廉希尔williamhill官方网站2022年硕士研究生复试录取工作实施细则》,经学院研究生招生工作领导小组审定,现将2022全国统考硕士研究生拟录取建议名单予以公示(不含推免生)。公示期48—421(10个工作日)。公示期内,如对公示名单有异议,可在公示期内以书面形式向信息科学与工程公司研究生办公室进行反映,学院将及时调查、复核并回复考生。  

另,如公示名单中拟录取考生自愿放弃公司拟录取资格或有增量指标,学院将按专业初试+复试总成绩由高到低进行递补拟录取。  

          

                                 威廉希尔williamhill官方网站  

202248